Закупку на этом сайте веду с 03.05.2016
https://www.mam4.ru/profile/post/51308/?page=252#comments



- Предзаказ СТРОГО до 05 апреля
- ОТГРУЗКИ с 08 мая
- Минимальный заказ на 100.000
Цены оптовые + орг 15% +1$ доставка за каждую единицу товара
ВНИМАНИЕ!
Делая заказ у меня впервые , напишите в лс ваши данные(ФИО, адрес, телефон)
- Выкуп еженедельно! поставка 1 раз в неделю.
- Будьте внимательны! Если Ваш заказ не выкупился в первый выкуп, он автоматически переносится на все последующие выкупы, пока вы сами не выпишитесь!
- Оплата в течении 2-х дней после выставления счета! Как только я выставляю счет, сразу сообщаю об этом в Новостях!
1. Тарифы на отправление почты РФ (по умолчанию отправляю с оценкой 100 р.) :
2. Самовывоз МО (по договоренности)
- пост с записью на ОТПРАВЛЕНИЕ ПОЧТОЙ РФ и ЯНДЕКС
- пост с записью КУРЬЕРСКАЯ ДОСТАВКА
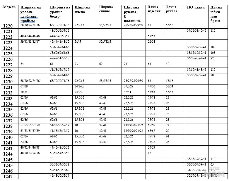
РАЗМЕРНАЯ СЕТКА:


1209 Куртка
Хлопок 100
Цвет-“Красный мак”
Ветровка выполнена из тонкого шуршащего хлопка. Изделие на подкладке-сетке. Центральная застежка на молнию. Отрезная горизонтальная кокетка на полочке и на спинке, в которую вставлен декоративный кант. Спущенная линия плеча. Длинный объемный рукав. Низ рукава на резинке. Низ изделия на резинке. Горловина-стойка.
По переднему и локтевому швам рукава также вставлен кант. Авторская вышивка на спинке изделия.
цена 8900 р
46-
Perchik-k
1208 Шорты
Хлопок 100
Цвет – “ Белое перо”
Джинсовые шорты прямого кроя. Длина ниже колена. Изделие на поясе. Пояс со шлевками для ремня, фигурные карманы на передних половинках, кокетка и накладные карманы сзади. На правом заднем кармане брюк авторская вышивка.
цена 7000 р









1245 Юбка
72 лен 28 вискоза
Цвет-“белое перо”
Юбка выполнена из тонкого полупрозрачного льна. Прямая. Длина maxi. Пояс регулируется . Высокие разрезы по боковым швам. Кружевной подъюбник входит в комплект.
цена 5900 р
48-
inna.bratukhina дз




1212 Костюм
Хлопок 80 ПЭ 20
Цвет -“клубничный”
Костюм состоит из рубашки и юбки -шорт.
Рубашка прямого силуэта длиной до бедра, выполнена из хлопка. Центральная застежка доверху на петли и пуговицы. Накладные карманы с клапанами на полочках изделия. Спущенная линия плеча, рубашечный рукав. Рукав на притачной манжете, выполненной из отделочной ткани. На спинке притачная кокетка. Рубашечный воротник на стойке, выполнен из отделочной ткани. Юбка шорты длина Mini. Юбка прямая , в боковых швах карманы. По переду имитация планки с пуговицами. Изделие на поясе, в который вставлена резинка. Низ юбки ассиметричный. Снизу притачные шорты, выполнены из отделочной ткани (тонкий трикотаж).
цена 9500 р




1217 Куртка
Хлопок 100
Цвет-“Галечный серый”
Объемная ветровка выполнена из тонкого шуршащего хлопка. Изделие на авторской вискозной подкладке. Центральная бортовая застежка на молнию, которая дополнительно закрывается притачной планкой. Перед и спинка изделия прямые. На передних половинках изделия накладные карманы-портфели с клапанами и прорезные карманы с листочками. Рукав реглан. Длинный объемный рукав. Низ рукава на резинке. Низ изделия на резинке. Горловина-стойка. На спинке авторская термоапликация.
цена 10000 р
1224 Брюки
Хлопок 95 Эластан 5
Цвет-“Зефирные облака”
Брюки выполнены из премиального трикотажного полотна. Брюки свободного кроя, пояс на резинке. Карманы в боковых швах. Передние и задние половинки брюк с дополнительными выточками по низу. Низ брюк на резинке. Сзади прорезной карман-обманка. По поясу вставлен декоративный шнурок.
цена 6600 р





1241 Футболка
Хлопок 100
Цвет- “ Туманное небо”
Объемная футболка оверсайз выполнена из тонкого меланжевого хлопка. Спущенная линия плеча. Рукав до локтя. Горловина круглая с притачной планкой. Авторская вышивка “ SUMMER” на передней половинке футболки.
цена 4500 р
50-
Екатерина







1242 Блуза
Хлопок 95 Эластан 5
Цвет-“Магический лес”
Топ выполнен из трикотажного полотна в рубчик. Изделие приталенное. Горловина круглая. Линия плеча зауженная. На полочке авторская вышивка.
цена 4100 р
42-
Юля





1232 Куртка
ПЭ 100%
Цвет-“Красный мак”
Ветровка выполнена из тонкой плащевой ткани в клетку. Изделие на подкладке-сетке. Центральная застежка на молнию. Спущенная линия плеча. Длинный объемный рукав. Низ рукава на резинке. Низ изделия на резинке. Горловина-стойка с притачным капюшоном.
Карманы в боковых швах.
цена 9400 р
1228 Джинсы
Хлопок 96 Эластан 4
Цвет-“белое перо”
Джинсы-багги - свободные мешковатые джинсы, с расслабленным кроем по всей длине, на поясе со шлевками. Низкая посадка. Функциональные карманы спереди. На задних половинках накладные карманы и классическая фигурная кокетка.
цена 7300 р





1236 Футболка
Хлопок 100
Цвет- “ Экрю”
Объемная футболка оверсайз выполнена из плотного хлопкового трикотажного полотна (интерлок). Спущенная линия плеча. Рукав до локтя. Горловина круглая с притачной планкой. Дизайнерский принт “ Воздушный шар” на передней половинке футболки.
цена 4100 р
44-
Юлия
1247 Юбка
69 пэ, 29 вискоза, 2 спандекс
Цвет-“пастельный пергамент”
Юбка длина Mini. Юбка на поясе со шлевками. Застежка спереди. Изделие на подкладке.
цена 4900 р



1230 Блуза
Хлопок 100 Цвет-“жемчужно голубой”
Удлиненная рубашка прямого силуэта длиной ниже середины бедра, выполнена из премиального хлопка с вышивкой. Центральная застежка доверху на петли и пуговицы. Спущенная линия плеча, объемный рубашечный рукав. Рукав на притачной манжете. Спинка прямая. Рубашечный воротник на стойке.
КАЖДОЕ ИЗДЕЛИЕ КРОИТСЯ ВРУЧНУЮ!!
цена 9200 р







1220 Блуза
Хлопок 100
Цвет- “ледяной поток”
Стильная удлиненная рубашка прямого силуэта длиной до бедра. Центральная застежка доверху на петли и пуговицы. Перед и спинка изделия прямые. Спущенная линия плеча, объемный рубашечный рукав. Рукав на притачной манжете. Спинка с отрезной кокеткой. Рубашечный воротник на стойке. Авторский принт на спинке изделия.
цена 6400 р
42-
Наталья






1237 Футболка
Хлопок 100
Цвет- “ Туманное небо”
Объемная футболка оверсайз выполнена из тонкого меланжевого хлопка. Спущенная линия плеча. Рукав до локтя. Горловина круглая с притачной планкой. Дизайнерский принт “ Отпечаток” на передней половинке футболки.
цена 4000 р
46-
tatysik





1240 Лонг
Хлопок 95 Эластан 5
Цвет -“цветочный мед”
Лонг выполнен из плотного полотна (интерлок)
Перед и спинка прямые. Спущенная линия плеча. Втачной длинный прямой рукав. Круглая горловина с притачной планкой из отделочной ткани. На левом плече декоративный вырез. На полочке изделия авторский принт. В боковом шве –дизайнерский флажок.
цена 5500 р



1234 Футболка
Хлопок 100
Цвет- “ Экрю”
Объемная футболка оверсайз выполнена из плотного хлопкового трикотажного полотна (интерлок). Спущенная линия плеча. Рукав до локтя. Горловина круглая с притачной планкой. Дизайнерский принт “SEA” на задней половинке футболки.
цена 3900 р
42-
Наталья
1202 Брюки
Вискоза 80 ПА 20
Цвет -“цветочный мед”
Прямые брюки-палаццо из облегченной фактурной вискозы. Брюки на поясе, в который вставлена резинка и декоративный шнур. Функциональны карманы в боковых швах.
цена 5900 р




1239 Футболка
Хлопок 100
Цвет- “ Экрю”
Объемная футболка оверсайз выполнена из плотного хлопкового трикотажного полотна (интерлок). Спущенная линия плеча. Рукав до локтя. Горловина круглая с притачной планкой. Дизайнерский принт “ MOTO” на передней половинке футболки.
цена 4200 р




1206 Блуза
Вискоза 80 ПА 20
Цвет-“мультиколор”
Вязаный объемный джемпер прямого силуэта из вискозного трикотажного полотна. Перед и спинка изделия прямые. Горловина – “лодочка”. Рукав спущенный, цельнокроеный.
цена 5000 р
1214 Брюки
Хлопок 100
Длина изделия 102
Цвет - “ Бренди дыня”
Брюки-“Алладины” выполнены из шуршащего хлопка. Главный тренд сезона 2026.
Брюки полностью на подкладке. Изделие на поясе, в который вставлена резинка. Низ брюк так же на резинке. Карманы в боковых швах. По боковому шву декоративный флажок.
цена 6100 р





1210 Анорак
Хлопок 100
Цвет – “ Белое перо”
Анорак выполнен из рубашечного хлопка с эффектом “мятости”. Изделие прямое, без застежки. Перед и спинка изделия прямые. На полочке горизонтальный подрез и накладной карман-кенгуру. Спинка прямая. Спущенная линия плеча. Длинный свободный рукав. Низ рукава на резинке. Низ изделия на резинке. Широкая отрезная планка по переду, переходящая в высокую стойку. Авторский принт на спине.
цена 6800 р
1229 Шорты
Хлопок 95 Эластан 5
Цвет-“василек”
Шорты- бермуды выполнены из премиального трикотажного полотна. Шорты свободного кроя, длина ниже колена, пояс на резинке. Карманы в боковых швах. Сзади накладной карман. По поясу вставлен декоративный шнурок.
цена 5300 р






1231 Блуза
Тенсел 100
Цвет-“ Цвет -“ледяной поток”
Укороченная Блуза из тонкого фактурного тенсела (вискоза).
Изделие длиной до линии талии без застежки. Низ блузы на кулисе, в которую вставлен шнурок. Перед и спинка изделия прямые. Спущенная линия плеча. Рукав длинный объемный. Низ рукава на резинке.
цена 5700 р
1207 Брюки
Хлопок 95 Эластан 5
Цвет- “крем Брюле”
Прямые брюки выполнены из микровельвета. Брюки средней посадки, на поясе со шлевками. Застежка спереди. Функциональные прорезные карманы в рамку в боковых швах. Сзади прорезные карманы – обманки.
цена 6500 р



1222 Блуза
Хлопок 95 Эластан 5
Цвет-“Розовые облака”
Топ выполнен из трикотажного полотна в рубчик. Изделие приталенное. Горловина круглая. Линия плеча зауженная. На полочке авторская вышивка.
цена 4100 р
44-
Юля
1221 Джинсы
Хлопок 95 Спандекс 5
Цвет-“жемчужно голубой”
Джинсы свободного кроя, зауженные книзу. Изделие высокой посадки, на поясе. Пояс со шлевками для ремня, боковые карманы на передних половинках и прорезные карманы-обманки сзади. На передних половинках брюк по две односторонние складки. Брюки можно носить как в отвернутом виде, так и с подвернутом.
цена 7000 р




1233 Футболка
Хлопок 95 Эластан 5
Цвет- “ Бренди Дыня”
Объемная футболка оверсайз выполнена из плотного хлопкового трикотажного полотна (интерлок). Спущенная линия плеча. Рукав до локтя. Горловина круглая с притачной планкой. Авторская вышивка “ITALIA” на передней половинке футболки.
цена 4800 р





1238 Футболка
Хлопок 100
Цвет- “ Экрю”
Объемная футболка оверсайз выполнена из плотного хлопкового трикотажного полотна (интерлок). Спущенная линия плеча. Рукав до локтя. Горловина круглая с притачной планкой. Дизайнерский принт “ Русалка” на передней половинке футболки.
цена 4100 р
1246 Брюки
72 лен 28 вискоза
Цвет-“синий Клейна”
Летние брюки прямого силуэта. Брюки без застежки. Карманы в боковых швах. По талии декоративная “брендированная” резинка. Спереди застрочены декоративные канты.
цена 6300 р
48-
Ольга П. ,
inna.bratukhina дз





1223 Блуза
Хлопок 95 Эластан 5
Цвет-“Галечный серый”
Топ выполнен из трикотажного полотна в рубчик. Изделие приталенное. Горловина круглая. Линия плеча зауженная. На полочке термоапликация. Горловина и пройма обработаны отделочной тканью.
цена 3900 р
44-
БелкаЯ
1215 Брюки
Вискоза 40 ПЭ 30 Лен 30
Цвет-“жемчужный розовый”
Прямые брюки-палаццо из вискозы. Брюки на поясе со шлевками. Функциональные прорезные карманы в боковых швах. Сзади прорезные карманы в рамку – обманки. По переду по две глубокие односторонние складки.
цена 6200 р
50-
Татьяна
1243 Сумка
ПЭ 100
Сумка выполнена из плащевой ткани.
Авторский принт. Дизайнерская подкладка.
цена 3500 р






1227 Свитшот
Вискоза 60 ПА 35 Спандекс 5
Цвет - “ Бренди дыня”
Свитшот свободного силуэта - "Oversize", выполнен из трикотажного премиального вискозного полотна полоску. Спущенная линия плеча. Рукав длинный, расширенный книзу. Горловина круглая, с притачной планкой, выполненной из отделочной ткани. Перед и спинка изделия прямые. На полочке- кокетки по плечам, выполнены из отделочной ткани. Спереди авторская аппликация.
цена 5400 р




1235 Футболка
Хлопок 100
Цвет- “ Экрю”
Объемная футболка оверсайз выполнена из плотного хлопкового трикотажного полотна (интерлок). Спущенная линия плеча. Рукав до локтя.. Горловина круглая с притачной планкой. Дизайнерский принт “ Нстолько по…” на передней половинке футболки.
цена 3900 р
42-
Наталья,
lilia,
Юля,
Алина
48-
Виктория дз
1226 Юбка
Хлопок 100
Цвет-“Цвет Кувшинки”
Джинсовая юбка длина midi. Юбка на поясе со шлевками, немного зауженная книзу. Изделие без подкладки. Застежка спереди. Спереди классические джинсовые карманы, средний шов и фигурная кокетка с необработанным краем. Сзади в юбке средний шов, высокий разрез, фигурная кокетка и накладные карманы. Кокетка и карманы с необработанным краем. Низ изделия необработан.
цена 6200 р
42-
Tania Tuzova,
lilia
48-




1219 Жилет
Хлопок 100
Цвет- “лаврового венка”
Жилет выполнен из плотного хлопка. Изделие на авторской подкладке.
Жилет прямого силуэта, длиной ниже линии бедра. Центральная бортовая застежка на петли и пуговицы. Воротник пиджачного типа. На полочке накладные карманы с клапанами сверху и прорезные карманы с клапанами снизу. Спинка прямая. По талии выполнена кулиса, в которую вставлен декоративный шнурок, для регулировки изделия по фигуре. Спущенная линия плеча. По линии плеча вставлена декоративная пата. Глубокая пройма.
цена 9500 р
1225 Брюки
Хлопок 95 Эластан 5
Цвет-“Космические сливки”
Брюки выполнены из премиального трикотажного полотна. Брюки свободного кроя, пояс на резинке. Карманы в боковых швах. Передние и задние половинки брюк с дополнительными выточками по низу. Низ брюк на резинке. Сзади прорезной карман-обманка. По поясу вставлен декоративный шнурок.
цена 6600 р





1244 Платье
Хлопок 100
Цвет-“белое перо”
Полупрозрачное платье из нежнейшего тонкого премиального хлопка. Длина миди. Платье прямого силуэта, свободное в талии и бедрах, Выполнено в духе минимализма. По боковым швам высокие разрезы. Тонкие регулируемые бретели. Низ изделия вырезан вручную. Изделие на подкладке.
цена 7300 р
46-
andrilena



1216 Платье
Хлопок 100
Цвет -“голубые облака”
Платье из фактурного хлопка.
Изделие на хлопковой подкладке. Длина maxi. Свободное в талии и бедрах, в духе минимализма. Изделие без застежки. V-образный вырез горловины и спинки. Изделие отрезное выше линии колена. Нижняя часть платья собрана на сборку. Изделие декорировано хлопковым кружевом.
цена 8600 р



1213 Платье
77 ПЭ 18 вискоза 5 спандекс
Цвет-“ледяной поток”
Изделие на хлопковой подкладке. Топ в комплекте. Стильное платье. Длина maxi. Свободное в талии и бедрах, в духе минимализма. Изделие без застежки. V-образный вырез горловины и спинки. Регулируемые бретели.
цена 8800 р



1200 Комплект
Вискоза 60 ПА 35 Спандекс 5
Цвет - “ Бренди дыня”
Комплект, состоящий из шорт, укороченного топа и повязки.
Топ выполнен из вискозного трикотажного полотна в полоску. Шорты выполнены из премиального хлопкового полотна. Карманы в боковых швах. Шорты на резинке.
Повязка выполнена из трикотажного полотна.
цена 6000 р
48-
Юля


1204 Костюм Цвет- “зеленой мяты”
46-
Алёнка Т.
1204/2 Костюм Цвет-“Васильковый”
Вискоза 80, ПА 20
Костюм из тонкого премиального полотна с содержанием вискозы, состоит из брюк, топа и бра (второй топ)
Брюки свободного кроя, прямые ,низ брюк на резинке. Пояс на резинке, карманы в боковых швах. Топ свободного кроя. Углубленная пройма, круглая горловина. Бра(второй топ) выполнено из трикотажного хлопкового полотна в широкий рубчик.
цена 9700 р





1203 Костюм
Вискоза 80, ПА 20
Цвет - “Спелый банан”
Костюм из тонкого премиального полотна с содержанием вискозы, состоит из брюк, топа и кардигана.
Кардиган длина maxi. Изделие без застежки. Перед и спинка прямые. В боковых швах карманы.
Брюки свободного кроя, прямые, на резинке без бокового шва и без карманов. Топ укороченный, на бретелях.
цена 10800 р




1218 Костюм
Хлопок 100
Цвет-“лесной мох”
Стильный легкий костюм, состоит из анорака и брюк –“алладинов”. Анорак прямого силуэта без застежки. Перед и спинка изделия прямые. На передней половинке накладной карман-кенгуру с клапаном. Спущенная линия плеча. Свободный объемный рукав. Низ рукава и низ изделия на резинке. По низу изделия дополнительно вставлена “шляпная” резинка, для регулировки изделия по фигуре. Притачная планка и рубашечный воротник со стойкой. Брюки без подкладки. Изделие на поясе, в который вставлена резинка. Спереди имитация застежки. Низ брюк так же на резинке. Карманы в боковых швах.
цена 10000 р





1201 Костюм
Хлопок 55 Вискоза 45
Цвет- “Воронье крыло”
Стильный летний костюм, состоящий из блузы и шорт, выполнен из фактурного хлопка. Блуза-рубашка прямого силуэта, длиной до бедер. Центральная бортовая застежка на петли и пуговицы. Воротник пиджачного типа. Спущенная линия плеча. Полочка и спинка изделия прямые. Рубашечный длинный рукав. Низ рукава на притачной манжете. Изделие без подкладки. Шорты прямые, свободного кроя, без подкладки. Шорты на резинке (без застежки). Карманы в боковых швах.
цена 9700 р
42-
Наталья
46-
andrilena




1211 Костюм
Вискоза 100
Цвет-“фисташка”
Элегантный костюм, состоящий из брюк и блузы. Блуза прямого силуэта, длиной до бедер. Центральная бортовая застежка на петли и пуговицы. Воротник рубашечный. Немного спущенная линия плеча. Свободный рукав , немного расширенный книзу.. Спинка прямая. Изделие без подкладки. Брюки прямые, свободного кроя, без подкладки. Брюки на резинке (без застежки). Карманы в боковых швах.
цена 10000 р



1205 Костюм
Лен 60 Спандекс 20 Хлопок 20
Цвет-“спаржа”
Костюм из тонкого льна, состоящий из рубашки и брюк и топа. Стильная рубашка-блуза прямого кроя длиной до середины бедра. Центральная бортовая застежка доверху на петли и пуговицы. Накладные карманы и клапаны по переду изделия. Отрезная кокетка и бантовая складка по спинке. Спущенная линия плеча, свободный длинный рукав. Рубашечный воротник на стойке. Широкая подгибка рукава.
Прямые широкие брюки из тонкого льна. Брюки на поясе (частично в пояс вставлена резинка). Функциональные карманы в боковых швах. Сзади прорезные карманы в рамку – обманки. По переду по две глубокие односторонние складки. В пояс вставлена декоративная хлопковая тесьма.
Топ выполнен из плотного хлопкового полотна в рубчик.
цена 10800 р
48-
Юля



Комментарии 49